Conversion of Finite Automata to Right Linear Regular Grammar
Converting finite automata to right lienar grammar is very simple
See below steps and example followed by it, we will understand the process.
- Repeat the process for every state
- Begin the process from start state
- Write the production as the output followed by the state on which the transition is going
- And at the last add ε because that's is required to end the derivation

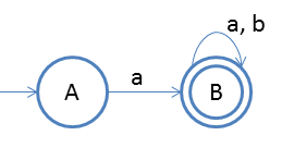
So we will applt the above procedure
Pick start state and output is on symbol 'a' we are going on state B
So we will write as :
A -> aBAnd then we will pick state B and then we will go for each output.
so we will get the below production.
B -> aB/bB/ε
So final we got right linear grammar as:
A -> aB B -> aB/bB/ε
